PA49911|
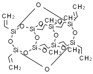
八乙烯基-POSS|
69655-76-1
| 别名 |
八乙烯基-POSS |
|
| 英文名 |
Octavinyloctasilasesquioxane |
| CAS号 |
69655-76-1 |
熔点 |
|
| 分子式 |
C16H24O12Si8
|
闪点 |
|
| 分子量 |
633.04 |
密度 |
|
| MDL号 |
|
储存条件 |
|
| 物化性质 |
|
| 批号 |
操作 |
| 20180503 |
下载
|
| 2020-09-27 |
下载
|
| 2021-08-20 |
下载
|
| 2022-02-24 |
下载
|
| 2023-08-14 |
下载
|
| 2023-10-08 |
下载
|
| 2024-08-26 |
下载
|
大包装询价