0751-2815688
512999951
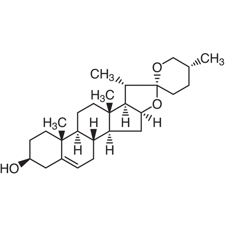
DA12348| 薯蓣皂苷元| 512-04-9
别名 薯蓣皂素;(2'R,4S,5'R,6aR,6bS,8aS,8bR,9S,11aS,12aS,12bS)-5',6a,8a,9-四甲基-1,3,3',4,4',5,5',6,6a,6b,6',7,8,8a,8b,9,11a,12,12a,12b-二十氢螺[萘并[2',1':4,5]茚并[2,1,1-b]呋喃-10,2'吡喃]-4-醇 
英文名 Nitogenin 
CAS号 512-04-9  熔点  
分子式 C27H42O3 闪点  
分子量 414.63  密度  
MDL号   储存条件  
物化性质  
批号 操作
2023-12-01 下载
2023-12-06 下载
收缩