欢迎光临广东翁江化学试剂有限公司官方网站!
购物车
0
件
中文
English
批量搜索
结构式检索
支持CAS号批量搜素:一行一个CAS号
首页
产品服务
联系我们
关于我们
批量搜索
结构式检索
产品分类
分析科学
分析试剂
分析标准品
高效液相色谱
气相色谱
离子传感器材料
树脂与LC分离介质
生物科学
生化试剂
微生物学
分子生物学
细胞培养
细胞生物学
血液学组织学
材料科学
电子材料
生物材料
纳米材料
替代能源
有机印刷材料
高分子科学
高端化学
合成试剂
特殊合成
稳定性同位素
有机金属试剂
化学生物学
催化和无机化学
0751-2815688
512999951
sales@wj-chem.com
首页
>
产品服务
>
分析科学
>
分析试剂
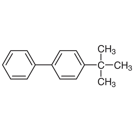
PA20908
|
4-叔丁基联苯
|
1625-92-9
别名
4-叔丁基联苯
英文名
4-Tert-Butylbiphenyl
CAS号
1625-92-9
熔点
分子式
C
16
H
18
闪点
分子量
210.31
密度
MDL号
储存条件
物化性质
大包装询价
MSDS下载
COA下载
参考文献
大包装询价
CAS NO
包装规格
纯度
数量
期望价格
单位名称
产品名称
联系人
电话
E-mail
备注
验证码
填写验证码
展开
收缩
QQ咨询
3001264886
3001271677
3001249600
3001235036
3008325437
3001267247